Keresés

Részletes keresés

NevemTeve Creative Commons License 2023.11.11 0 2 1043

Kezdetnek:
f(x) = A sin(ix) + B cos(ix)
f'(x) = Ai cos(ix) - Bi sin(ix)
f''(x) = -Aii sin(ix) - Bii cos(ix) = A sin(ix) + B cos(ix)

 

Akkor most legyen k=2iπ:

f(x-2iπ) = A sin(i(x-2iπ)) + B cos(i(x-2iπ)) =
= A sin(ix+2π) + B cos(ix+2π) =
= A sin(ix) + B cos(ix) = f(x)

(A további kérdéseidet nem értettem meg; remélem, legalább te magad érted őket.)

Előzmény: Törölt nick (1041)
Törölt nick Creative Commons License 2023.11.11 0 0 1042

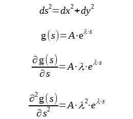
Legyen s az úthossz. Nézzünk egy görbét az úthossz függvényében:

Szeretnénk tudni a görbét x függvényében is.

Helyettesítsük be a görbénk deriváltját az úthossz szerint.

 

Már csak el kell végezni ezt a finom kis integrálást.

Előzmény: Törölt nick (1041)
Törölt nick Creative Commons License 2023.11.11 -2 0 1041

Agymenés (n)agymenőknek:

 

Keresünk olyan f(x) függvényt, ahol

 

d2 f(x)/dx2 = f(x)

és

d2 f(x)/dx2 = f(x-k)

is.

 

 

replace x --> r

Létezik teleportálásra képes kupola vagy lejtő? :D

Törölt nick Creative Commons License 2023.11.10 0 0 1040

https://forum.index.hu/Article/viewArticle?a=165674654&t=9168928

"L = e^{alpha t} (T-V)"

 

Az ötlet alapjában jó.

 

De a baj az, hogy a természet megbontja ezt a szimmetriát. T-V helyett egy kicsit ravaszabb dolgot kell venni.

Különben a csillagok nem tudnak begyulladni. Jelszó: a lehűléstől forrósodó tégla (AtomCsill).

Törölt nick Creative Commons License 2023.11.10 0 0 1039

Nem használom a klasszikus Hamilton mechanikát, nem vagyok járatos benne.

 

Előzmény: szabiku_ (1038)
szabiku_ Creative Commons License 2023.11.10 -1 0 1038

A Landau (I) könyvben valami megint nem stimmel.

 

Előzmény: szabiku_ (1037)
szabiku_ Creative Commons License 2023.11.10 0 0 1037

Azon gondolkozok most, hogy ha G.Á ötlete nyomán exponenciális tényezőt alkalmazunk a közeg ellenállása miatt:

 

L = Tetβ/m 

 

Fált. = dP/dt = d[∂L/∂v]/dt = 

 

d[∂(Tetβ/m)/∂v]/dt = d(mvetβ/m)/dt = maetβ/m + βvetβ/m 

 

( P = petβ/m   az általános impulzus)

 

Az Euler—Lagrange-egyenlet alapján ez, vagyis Fált. = 0, ha nincs külső potenciáltér. Az e-ados tényezővel egyszerűsíthetünk, és a szokásos F=ma dinamikai erőre:

 

F = Fált. e-tβ/m = ma = -βv   ahogy akartuk. (áttértem most a β jelölésre, értéke pozitív)

 

Szépen csillapodik a mozgás, disszipálódik a T kinetikai energia, nem marad meg, hiszen L expliciten függ t-től (ott van az exponensben). 

 

 

És most jön az érdekes! 

 

Legyen U külső potenciáltér!

 

Ekkor kell az E—L-egyenlet másik fele is. Viszont ahhoz, hogy azt kapjuk, amit valóvan kell:

 

F = ma = -βv - grad U

 

a Lagrange-függvényben a potenciáltagot is ugyanazzal az etβ/m inverz csillapítással kell szorozni, mint a T kinetikai tagot:

 

L = (T-U)etβ/m 

 

hogy aztán végül az eltűnjön egy egyszerűsítéssel.

 

Na és akkor mit mutat a formalizmus a rendszer E=T+U teljes energiájára?

 

(itt tartok most, majd folytatom...) 

szabiku_ Creative Commons License 2023.11.09 0 1 1036

Elbaltáztam. A fenébe! Az Euler-Lagrange-egyenletben tényleg csak az egyik oldalt kellene megjelenjen, különben kiesik.

 

Vaicoh jól mondja: http://forum.index.hu/Article/viewArticle?a=165670540&t=9168928

 

Először gondoltam jól. :/

Előzmény: szabiku_ (1035)
szabiku_ Creative Commons License 2023.11.08 0 1 1035

Ne akasszál ki. 🤦‍♂️🤦‍♂️🤦‍♂️

 

baloldal = jobboldal

 

Ezt hívják úgy, hogy egyenlet. 🤦‍♂️🤦‍♂️

 

F = dP/dt

 

∂L/∂x = d(∂L/∂x)/dt

 

Bxx = Bxx   ahogy kell.

 

(Ráadásul a ∂ és d jelhasználatod se mindenhol stimmel.)

Előzmény: Törölt nick (1034)
Törölt nick Creative Commons License 2023.11.08 0 0 1034

Legyen

L =Bxx.

 

erő oldal:

∂L/∂x = Bx.

 

lendület oldal:

∂L/∂x. = Bx

idő szerint deriválva

∂/∂t ∂L/∂x. = Bx.

 

Az a probléma, hogy Bxx. mindkét oldalon megjelenik és ezért kiesik.

 

Bx.=Bx.

 

Viszont a Lorentz-erőnél valamiért nem esik ki.

Ott Bxx. helyett Ax. van.

 

Még nem igazán értem, de van egy elgondolásom.

(Mert az rotáció: ∂Ax/∂y stb.)

Előzmény: szabiku_ (1033)
szabiku_ Creative Commons License 2023.11.08 0 0 1033

Ha azt mondod A=Bx, akkor qAx=qBxx és az elején L ugyanaz, mint a végén, nem értem a fennakadásod. 

Előzmény: Törölt nick (1030)
szabiku_ Creative Commons License 2023.11.08 0 1 1032

Valamit félrelátsz, nem tudom pontosan mit, de azon átsiklottam. 

Előzmény: Törölt nick (1030)
szabiku_ Creative Commons License 2023.11.08 0 0 1031

Na, akkor végül is igen. Először túl konzervatív voltam. (szoros értelemben) 

Előzmény: szabiku_ (1022)
Törölt nick Creative Commons License 2023.11.08 0 0 1030

Olvasd már vissza!

 

Ha van benne Bxx. az mindkét oldalon ugyanazt adja és kiesik.

Viszont a vektorpotenciálnál nem esik ki, mert ott implicite ∂A/∂t van.

 

Előzmény: szabiku_ (1028)
szabiku_ Creative Commons License 2023.11.08 0 0 1029

Tehát az elektrodinamikai hasonlítás rossz, felejtsd el. Inkább az önkölcsönhatási hasonlítás a jó (pontmechanikában, nem mezők esetére). 

Előzmény: Törölt nick (1026)
szabiku_ Creative Commons License 2023.11.08 0 0 1028

q-t innen ki kell dobni, nincs szerepe, nem kell, A sem mint vektorpotenciál, B egyszerűen csak egy konstans súrlódási együttható (negatív érték lesz csak jó, pozitívnál energiát adna), ami a disszipáció erősségét jelenti. Így a Lagrange-függvényben erre lesz egy Bxx tag. Megszűnik a Galilei-relativitás, és az energia ill. impulzus megmaradása, a rendszer disszipál. A mozgásegyenletben ott lesz a megfelelő Fs=Bv tag (B negatív). Ebben a formában a háttér rejtve marad, ami a súrlódást adja, csak a hatása van véve. Hamisan ez olyannak tűnik, mintha L-ben Bxx tag egy önkölcsönhatási tag lenne. Ez azonban csak egyszerűen modellezi a súrlódás jelenségét. Rezgésekvél ez fogja adni a csillapodást. 

Előzmény: Törölt nick (1027)
Törölt nick Creative Commons License 2023.11.07 0 0 1027

Tehát megpróbálom a Lorentz-erő mintájára.

Azonban vektorpotenciál helyett vegyünk egy rotációmentes fiktív mezőt.

 

Hogy ne kelljen új betűket kitalálnom, újrahasznosítom a vektorpotenciál jelölést.

De ez most divergens mező lesz, például Ax = B x, a többi komponense pedig nulla.

 

 

Tehát vegyünk egy frikciós tagot a Lagrange függvényben. Most csak ezt vizsgálom...

 

L = qAv = qAx.

 

Nézzük meg először az általánosított erőt.

Nincs benne x, vagyis ez az oldal nulla.

 

Vegyük most a konjugált momentumot.

 

Πx = ∂L/∂x. = qA

 

Most bedobunk egy trükköt az idő szerinti differenciáláshoz: ∂Π/∂t = ∂Π/∂x ∂x/∂t

ahol

∂x/∂t = v = x.

∂Π/∂x = q ∂A/∂x = q B

 

Végeredményében tehát megkaptunk egy

ma = q B v

jellegű sebességfüggő erőt a súrlódásra.

 

 

Remélem, hogy nagyon figyeltél. Probléma van.

Mert az elején példaként feltételeztem, hogy A = B x,

viszont később már csak a B = ∂A/∂x formulát használtam.

 

Csalás vagy nem csalás így deriválni?

 

Mert ha mindjárt az elején beírom a feltételezett formulát:

A = B x

és így

 

L = qAv = qAx. = qBxx.

remélem feltűnő, hogy ez egy rossz eset.

Előzmény: szabiku_ (1022)
Törölt nick Creative Commons License 2023.11.06 0 0 1026

Ha megnézzük a Lorentz-erő formuláját, ott qAv azaz qAx. szerepel.

Persze ezt elvileg megenné az x. szerinti differenciálás.

 

A trükk ott van, hogy ahol B nem nulla, ott A komponensei folytonosan változnak.

Tehát valahogy át kell rendezni, például ∂Ay/∂x és ∂x/∂t legyen.

(Utána kell néznem, mert most nem jut eszembe több.)

Előzmény: szabiku_ (1022)
Törölt nick Creative Commons License 2023.11.06 -1 0 1025
Előzmény: Törölt nick (1024)
Törölt nick Creative Commons License 2023.11.06 0 0 1024

A természet nem a kívánságaink szerint működik.

 

Egykori német főnököm azt mondaná: geht nicht gibt's nicht. (Olyan nincs, hogy valami nem megy.) Wir schaffen das!

 

Mindenesetre a nem konzervatív erőket fel lehet írni, vektorpotenciállal. Csakhát az merőben merőleges.

Törd egy kicsit a fejedet!

 

 

Tegnap néztem atomcsill előadást.

Felfedezték, hogy a klasszikus mechanika nem kauzákis és ne determinisztikus.

Elvileg lehet készíteni olyan alakú lejtőket, ahol a matematikai megoldás nem egyértelmű.

Persze felmerül a kérdés, hogy az elhanyagolások mennyit számítanak egy kísérletnél. Például a golyó alatt az alátámasztás deformálódik.

 

De most nézzük meg inkább a kúp hegyén lévő golyót!

Elvileg ott egyetlen atom van. Feltételezhetjük, hogy gömb.

Csakhogy ez az atom nem üldögél ott nyugisan.

Az ekvipartícióból kiszámolható (én nem fogom), hogy az atomunk szobahőmérsékleten hiperszónikus sebességgel mozog.

(Néhány héttel korábbi Atom Chill: hideg atomok.)

 

Viszont ez nem ilyen egyszerű. Ez valami ekvivalens sebesség.

 

Egy klasszikus fonálinga esetén azt nem tudjuk elképzelni, hogy két különböző frekvenciával leng.

Ugyanis ehhez legalább kettős inga kellene.

(Az más kérdés, hogy anharmonikus rezgésnél felírhatjuk a Fourier-sort.)

 

Viszont a kúp hegyén lévő atomunk szuperpozícióban oszcillál, egyszerre több különböző frekvencián.

(Azt sajnos nem tudom, hogy ez valódi folytonos spektrum, vagy pedig diszkrét frekvenciákból áll.)

 

Tehát az a mozgási sebesség, amit az előadó kiszámolt, az csak valamilyen effektív sebesség, mint például a váltóáram effektív értéke. (Csak a váltóáram fűtőértékét egyenáramra számoljuk át, az atomi oszcillátor szuperponált rezgését meg egyetlen harmonikus rezgésre.)

Előzmény: szabiku_ (1022)
szabiku_ Creative Commons License 2023.11.05 0 0 1023

Elírtam, javítok:

 

... nem a Lagrange-függvényből következik. 

Előzmény: szabiku_ (1022)
szabiku_ Creative Commons License 2023.11.05 0 1 1022

Sehogy. A Lagrange-formalizmus a súrlódásoktól és így a disszipációtól mentes tisztán mechanikai rendszerre érvényes. Bizonyos feltételek mellett az Euler-Lagrange-egyenlet kiegészíthető egy taggal, az úgynevezett általános súrlódási erővel (szimpla esetben ez a súrlódási erő). De ez hekkelés, nem a Lagrange-egyenletből következik. 

Előzmény: Törölt nick (1021)
Törölt nick Creative Commons License 2023.11.05 0 0 1021

Hogyan lehet a mozgásegyenletben szereplő súrlódási erőt kihozni a Lagrange-függvényből?

 

 

Miután ez nekem nem sikerült, megpróbáltam rákeresni, de nem találtam semmit - eddig.

ruzsa janos Creative Commons License 2023.10.14 0 1 1020

Bármilyen furcsa, a klímatechnikában még a 1.5mmm/2.7 mm es vékony rézcsövet is így nevezik.

Nyilván nem a kapilláris hatást mutatják ki vele .

 

Előzmény: Maketheworldabetterplace (1019)
Maketheworldabetterplace Creative Commons License 2023.10.14 0 0 1019

1mm vastag kapilláris.

Előzmény: ruzsa janos (1018)
ruzsa janos Creative Commons License 2023.10.14 0 0 1018

Egy műanyag tartály, palack keresztmetszete hatalmas. A nyomás egy palacknak a teljes keresztmetszetére hat, a keletkező p x A erőt a falvastagságból kapott keresztmetszet veszi fel - ami ott nagyon kicsi. Mondjuk átmerő 100 mm, fal 0.5 mm, műanyag

Egy kapilláriscsőnél a keresztmetszet mondjuk 1 mm, falvastagság ugyanennyi, és réz.

Hát azért nem mindegy....

Előzmény: Bölcs Árnyék (1017)
Bölcs Árnyék Creative Commons License 2023.10.13 0 0 1017

Én belenyomattam egy nagyobb vastag-falú műanyagtartályomba vagy 15-20 bart: durr szétszakadt, még szerencse hogy vizet nyomattam beléje ! 

 

 

, tényleg nem vicc nagyobb és erősebb eszközökkel kísérletezni ! 

Előzmény: ruzsa janos (1014)
Macska Bonifác Creative Commons License 2023.10.12 0 1 1016
Törölt nick Creative Commons License 2023.10.07 0 1 1015

Kalandozik egy kicsit, mert a honfoglaláskor nem volt rá lehetőségem. ;)

 

Teljesítmény = sebesség * erő

 

Vegyük példának a gördülési ellenállást.

Elméletileg nulla súrlódás lép fel, mert a gördülési pont áll.

 

W = U * I

Tápegységek kipróbálásánál műterhelést használnak ellenállás helyett.

Áram folyik, de feszültség nem esik a tranzisztoron.

(A terhelés helyett a tápegységgel disszipáltatjuk el az energiát?)

 

Valami ilyesmi megoldás lehet a reduktorban is?

Előzmény: ruzsa janos (1014)
ruzsa janos Creative Commons License 2023.10.07 0 1 1014

Szerintem veszélyes, ha reduktor nélkül tölti át. 200 bar nem vicc.

A reduktor (vagy amit a gyakorlatban annak neveznek) az egy visszacsatolással ellátott... nyomásszabályozó szelep. Itt viszont a végnyomás ugyanannyi, mint a nyomásforrásban

Ide tehát egy áramlásszabályozó kellene. Egyébként van olyan is, a hegesztőgépeken pl.

Annak pedig a legegyszerűbb formája egy kapilláris cső (mert az áramlás biztosan nem lineárisan nő a nyomáskülönbséggel, illetve a legnagyobb hátránya talán az, hogy a folyamat végén belassul a nyomáskiegyenlítődés).

Előzmény: Törölt nick (1011)

Ha kedveled azért, ha nem azért nyomj egy lájkot a Fórumért!