Keresés

Részletes keresés

destrukt Creative Commons License 2024.07.12 0 0 12140

"Vagyis a frekvencia mellett bejön a hullámszám is."

 

Ez a megoldás kulcsa. A valóságos hullámszám. 

Előzmény: Törölt nick (12137)
destrukt Creative Commons License 2024.07.12 -2 0 12139

"Egy részecske (pl. foton) keletkezésénél végtelen kiterjedésű síkhullámoknak kellene kiugrani egyidejűleg."

 

Nem keletkezik ott semmiféle foton, sem másfajta részecske. 

Gömbhullám keletkezik, mégpedig nem folytonos, hanem véges vastagságú, amely néhány millió elemi hullámot tartalmaz.  

 

 

"Nincs olyan, hogy határozott helye vagy határozott frekvenciája lenne."

 

De, nagyon is határozott a frekvenciája. Egészen pontosan egy nagyon szűk sávban van a frekvencia. Ez okozza a koherenciavesztést a koherenciatávolságon túl. Nem lenne nehéz megértened, de te túl szétszórt vagy ehhez.

 

 

 

 

 

 

Előzmény: Törölt nick (12138)
Törölt nick Creative Commons License 2024.07.12 0 0 12138

Mondtam már neked, hogy lételméleti problémáról van szó.

Egy részecske (pl. foton) keletkezésénél végtelen kiterjedésű síkhullámoknak kellene kiugrani egyidejűleg.

 

Majd kimásolom a könyvből...

A harmonikus oszcillátor kvantált megoldása egy Gauss-eloszlás.

A hullámfüggvény két komponense nem független egymástól.

Fel lehet rajzolni az egyik vagy a mmásik bázisban az eloszlást.

Nincs olyan, hogy határozott helye vagy határozott frekvenciája lenne.

Amiről beszélnek, az csak az eloszlás csúcsa.

 

 

Van itt egy érdekes mondat: elemi részecskének tekinthetjük.

Az energia nem osztható kisebb egységekre. Emiatt úgy viselkedik, mintha létező elemi részecske lenne.

Manifesztálódik.

 

Érdekes akkor lesz, amikor a virtuális részecskéket vizsgáljuk.

Arra fogunk rájönni, hogy stacionárius módon az energia nem darabolható tetszőlegesen.

Viszont a tranzienseket vehetjük úgy, mintha valamilyen valószínűségi eloszlása lenne ezeknek az adagoknak.

(Nem biztos, hogy ez a legjobb szemlélet.)

Előzmény: destrukt (12136)
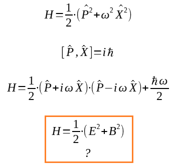
Törölt nick Creative Commons License 2024.07.12 0 0 12137

Patkós A., Polónyi J.

 

Holnap megkeresem. Egy kupac könyv között van valahol.

 

 

Susskind egyszerű módon próbálja bemutatni a kvantálást, skalár függvényekkel.

Viszont az elektromágnesességnél a vektor komponenseket kell venni, rotáció.

(És akkor az olvasó nem látná a fától az erdőt.)

Másrészt a gradiens energia is megjelenik.

Vagyis a frekvencia mellett bejön a hullámszám is.

 

Ha nem akarunk elveszni a komponens indexek között, fordítsuk be például terjedési irányba a koordináta-rendszert.

 

Valami ilyesmire tippelek:

H = ħ (ωE+ikB) * (ωB-ikE) / 2

 

A szorzat kifejtésénél ugyanúgy bejün a kommutátor, vagyis az elektromágneses oszcillátornak is lesz nullponti energiája.

 

https://forum.index.hu/Article/viewArticle?a=167417215&t=9247508

Előzmény: Construkt (12134)
destrukt Creative Commons License 2024.07.12 -2 0 12136

Félsz, hogy kiderül, hogy te sem érted?

Aki az utolsó képletet képes megérteni, az arra is könnyen rájön, hogy mi a hibája. 

Lássuk, te érted-e?

 

Miért van a képletben a 2*pí ?

Mit jelent a ?   (nem a neve érdekel, hanem a jelentése)

Mi a c/lambda ?

 

Ezekre a kérdésekre a te nagy tudásoddal könnyű lenne válaszolni. 

Lássuk, megy-e!

 

 

Előzmény: Construkt (12135)
Construkt Creative Commons License 2024.07.11 0 3 12135

Ne vergődj vele, a fizika szempontjából te magad vagy hibás.

Elméletileg.

Előzmény: destrukt (12130)
Construkt Creative Commons License 2024.07.11 0 0 12134

Ha az a kérdésed, hogy hogyan kell kvantálni az elektrodinamikát, vagyis például miként lehet felírni egy elektromágneses hullám Hamilton-függvényét kanonikusan konjugált állapotfüggvényekkel, akkor a következőket olvasd el:

G. Heber, G.Weber: A modern kvantumfizika alapjai, Műszaki Könyvkiadó 1964. 234.-244. old.

Patkós A., Polónyi J.: Sugárzás és részecskék Typotex, 2006. 98.-104. old.

Előzmény: Törölt nick (12121)
destrukt Creative Commons License 2024.07.11 0 0 12133

"Na de abban E és B van. És hol a frekvancia?"

 

Statikus E és B esetén nincs frekvencia. Nem is lehet. 

Előzmény: Törölt nick (12132)
Törölt nick Creative Commons License 2024.07.11 0 0 12132

A lényeg az, hogy [P,X] nem kommutál, ahogy [E,B] sem.

Ezért ha az egyiket ismerjük, a másikat nem tudhatjuk (sőt nem is létezik).

 

Viszont ez a levezetés egy mechanikai oszcillátort mutat be.

Majd pedig kijelenti, hogy az elektromágneses is ilyen.

Na de abban E és B van. És hol a frekvancia?

Nem jöttem rá.

Előzmény: destrukt (12130)
gyongyom bokretam Creative Commons License 2024.07.11 0 0 12131

 Elég sok dolog elméletileg túlkomplikált szerintem, azért tévelyegnek az időutazással és az ikerparadokszonnal. Valószínű soha nem fogom megérteni a képleteket. Én ezzel az egy képlettel kinlódok, amihez elég a törtszámítás. Az idő nem negyedik dimenzió, hanem a kordináta rendszerben egy negyedik vonal, amiből nem tudnak kitérni.

Előzmény: destrukt (12130)
destrukt Creative Commons License 2024.07.11 0 0 12130

Nem matematikailag hibás, hanem a fizika szempontjából. 

Elméletileg hibás. 

Előzmény: gyongyom bokretam (12128)
destrukt Creative Commons License 2024.07.11 0 0 12129

Leonard Susskind nem tanagyag az egyetemen, ezért nem ismerik.

Ők csak Einsteint ismerik, azt is felszínesen. 

 

Előzmény: Törölt nick (12121)
gyongyom bokretam Creative Commons License 2024.07.11 0 0 12128

 Szóval akkor ez a képlet is hibás. Minden képlet hibás? Akkor te vagy a matematikus.

Előzmény: destrukt (12124)
destrukt Creative Commons License 2024.07.11 0 1 12127

Ez nem Susskind képlete, de a kérdés jogos.

Nekem van erre saját képletem, és saját elméletem. 

 

Előzmény: gyongyom bokretam (12125)
destrukt Creative Commons License 2024.07.11 0 0 12126

Nem annyira bonyolultak, csak ismerni kel a betűk jelentését. 

Előzmény: gyongyom bokretam (12122)
gyongyom bokretam Creative Commons License 2024.07.11 0 0 12125

 Ez Leonárd Susskind képlete. Most te miért akarsz valami mást becsempészni a képletbe? Ez hamisítás lenne. Miért nem alkotsz magadtól egy másik képletet.?

Előzmény: Törölt nick (12121)
destrukt Creative Commons License 2024.07.11 0 0 12124

Aki az utolsó képletet képes megérteni, az arra is könnyen rájön, hogy mi a hibája. 

Lássuk, te érted-e?

 

Miért van a képletben a 2pí ?

Mit jelent a ?

Mi a c/lambda ?

 

 

Előzmény: Törölt nick (12119)
Törölt nick Creative Commons License 2024.07.11 0 0 12123
Előzmény: Construkt (12120)
gyongyom bokretam Creative Commons License 2024.07.11 0 0 12122

 Bárcsak megérteném ezeket a képleteket. Szerintem ti mindent összekomplikáltok.

Előzmény: Construkt (12120)
Törölt nick Creative Commons License 2024.07.11 0 0 12121

Kitalálhatnád. Leonard Susskind.

 

Tőled is megkérdezem, hogy az E és B mennyiségeket tartalmazó képletbe a frekvenciát hogyan lehet becsempészni?

Egész délután ezt próbáltam guglizni.

Előzmény: Construkt (12120)
Construkt Creative Commons License 2024.07.11 0 1 12120

Ki írta ezt a könyvet? Nem ismerem fel.

Előzmény: Törölt nick (12119)
Törölt nick Creative Commons License 2024.07.11 0 1 12119

Fotonok - mint tárgyak - nem léteznek.

Az energiát meghatározott adagokban tudjuk darabolni, de ez nem valami tárgy. Nincs alakja, színe, szaga.

 

 

 

gyongyom bokretam Creative Commons License 2024.07.11 0 0 12118

 Mi eredéményezi azt ,hogy a távolabbról mért fénysebesség értéke mást mutat mint a lokális , Ezt lenne érdekes kitalálni. Szerintem a párhuzamosok találkozása hoz hozzá közelebb, Ez nálam egy érzés.

Előzmény: destrukt (12117)
destrukt Creative Commons License 2024.07.11 0 0 12117

Hogyan eredményezi?

Előzmény: őszszakál (12116)
őszszakál Creative Commons License 2024.07.11 0 0 12116

Azért mert : „Más fénysebesség érték esetén más kell legyen ez a két paraméter, ami meg azt eredményezi, „

Előzmény: destrukt (12115)
destrukt Creative Commons License 2024.07.11 -1 0 12115

"...ott másképpen működik az elektrodinamika is."

 

Aztán miért működnem másképpen?

 

Előzmény: Elminster Aumar (12114)
Elminster Aumar Creative Commons License 2024.07.11 0 2 12114

"Ez csak blabla."

 

Nem az.

 

 

"Ha az Androméda galaxisban 400 000 km/s a fénysebesség, akkor is ugyanúgy játszódnak le a jelenségek."

 

Nem.

Mivel a képleteket úgy kerülöd, mint ördög a tömjénfüstöt, ezért nem is tudhatsz róla, hogy például a Maxwell-féle elektrodinamikára alapuló fizikai folyamatok mekkora részében van ott a vákuumbeli fénysebesség, mint paraméter. Nota bene, a vákuumbeli fénysebesség a vákuum permittivitásától és mágneses permeábilitásától függ. Más fénysebesség érték esetén más kell legyen ez a két paraméter, ami meg azt eredményezi, hogy ott másképpen működik az elektrodinamika is.

Előzmény: destrukt (12112)
Construkt Creative Commons License 2024.07.11 0 0 12113

Ezt nem kijelenteni, hanem bizonyítani kellene. Amire láthatóan nem vagy képes.

Előzmény: destrukt (12112)
destrukt Creative Commons License 2024.07.11 -3 0 12112

Ez csak blabla.

Ha az Androméda galaxisban 400 000 km/s a fénysebesség, akkor is ugyanúgy játszódnak le a jelenségek. 

Előzmény: Construkt (12111)
Construkt Creative Commons License 2024.07.11 0 2 12111

Azt, hogy a tőlünk nagy távolságban lévő megfigyelő ugyanakkorának találja a maga mellett elhaladó fény sebességét, mint mi a mi mellettünk elhaladót, onnan tudjuk, hogy azok a fizikai elméletek, amelyeket (többek között) erre a feltevésre alapoztak (az elektromágneses kölcsönhatás, a gyenge kölcsönhatás, az erős kölcsönhatás, a gravitáció elméletei) sikeresen és pontosan magyarázzák az ismert jelenségek túlnyomó többségét. A nálunk történő jelenségeket is meg a messze történő jelenségeket is. Például az Andromeda galaxis szerkezetét, mozgásait, anyagait, sugárzásait, ugyanúgy mint a Tejút szerkezetét, mozgásait, anyagait, sugárzásait.

Majd ha te közzéteszel valami hasonlóan sikeres és széles körben pontos számolásokra alkalmas elméletet, akkor fog tőled tanulni bárki is.

Addig csak egy hőzöngő háryjános vagy.

Előzmény: destrukt (12110)

Ha kedveled azért, ha nem azért nyomj egy lájkot a Fórumért!