Keresés

Részletes keresés

Fizi Miksa Creative Commons License 2025.12.24 0 1 1468

Jó az ábra. 

Azt is mutatja, ahogyan a hátramenő hullámok találkoznak a korábban keltett előremenő hullámokkal. 

Bejelöltem kékkel a találkozási pontokat.

Az is látszik, hogy az előremenő hullámok frekvenciája nem azonos a hátramenőkével.

 

 

Előzmény: mmormota (1465)
Kanócpusztaszer felső Creative Commons License 2025.12.24 0 0 1467

 

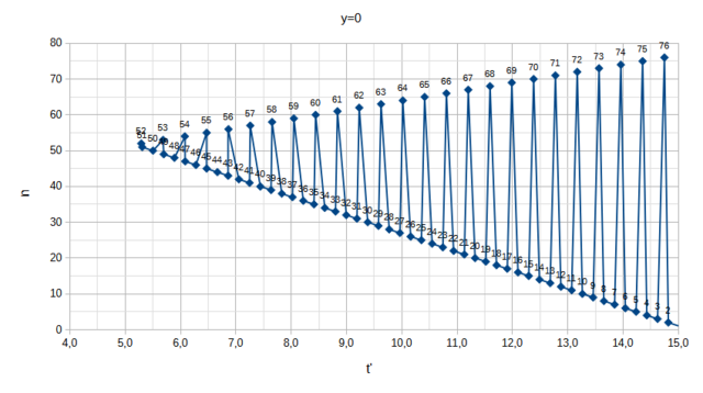
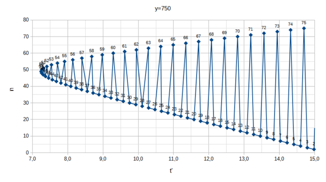
Érkezési idő szerint a sorszám.

Persze az még kérdés, hogy hol van a kúp felszíne az adott pillanatban.

Közben különválogattam a közeledő és távolodó periódusokat.

(Viszont amit még figyelembe kellene venni: a jel halkulása.)

 

Előzmény: Kanócpusztaszer felső (1466)
Kanócpusztaszer felső Creative Commons License 2025.12.24 0 0 1466

Most nézzük meg a Doppler-hatást.

 

Módszer:

Veszem a v sebességű jelforrás pozícióját ∆t időközönként.

Kiszámolom a távolságot egy adott ponttól.

Ebből pedig kiszámolom a késleltetést.

 

Hoppá, egy hiba: a késleltetést az indulási időhöz hozzá kell adni.

Na, akkor újra...

Előzmény: mmormota (1463)
mmormota Creative Commons License 2025.12.23 0 0 1465

Lerajzoltam neked CAD-ban. Előbb a köröket, egyenletes távolságokra. Aztán egy egyenest, távol a köröktől, majd érintőnek kényszereztem, meg az origóhoz. Így biztosan érintő. Minden adat a rajzon van, a körök sugara, a távolságok. 

 

Előzmény: Kanócpusztaszer felső (1462)
mmormota Creative Commons License 2025.12.23 0 0 1464

Viszont a körök megrajzolása esetén a burkoló mem ott van, ahol az érintő.

 

Hanem hol? :-O

 

A burkoló egy egyenes vonal. Szerinted nem érintője a köröknek?

Kiszínezel egyetlen kört a sokból. 

Mit csinál vele a burkoló egyenese szerinted, ha nem érinti? Belevág? Elkerüli? :-)))

Ne viccelj.

 

Előzmény: Kanócpusztaszer felső (1462)
mmormota Creative Commons License 2025.12.23 0 0 1463

Ha felveszel pontokat a pályán 1 másodpercenként és köröket rajzolsz, akkor ezeknek a köröknek nincs közös érintője, amely pontosan a Mach-kúp határát adja.

 

Szerintem meg van. :-)

 

Tedd be a rajzot.

Előzmény: Kanócpusztaszer felső (1462)
Kanócpusztaszer felső Creative Commons License 2025.12.23 0 0 1462

A módszer hibája:

Közös érintő keresése pontonként:

Ha felveszel pontokat a pályán 1 másodpercenként és köröket rajzolsz, akkor ezeknek a köröknek nincs közös érintője, amely pontosan a Mach-kúp határát adja.

A Mach-kúp nem a körök közös érintője. A kúp a forrás aktuális helyzetétől kiinduló, a múltbeli pozíciókból származó hanghullámok „burkolója”. Ez a burkológörbe (envelope) adja a Mach-kúpot.

2. Sugár és érintő merőlegessége:

A Mach-szög nem a kör sugara és a kúp érintője által bezárt derékszögből adódik. A Mach-szög μmuμ a forrás sebessége és a hangsebesség alapján számítható:

sin mu = frac{c}{v}

ahol c a hangsebesség, v a forrás sebessége.

3. Eltelt idő figyelembevétele:

Ha köröket rajzolsz minden 1 másodpercben, akkor a kör sugara c⋅tc cdot tct. A Mach-kúp határa nem a körök közös érintője, hanem a forrás pályájától kiinduló, az összes múltbeli hullámfront burkolója.

 

Hogyan lehet helyesen szerkeszteni a Mach-kúpot:

Rajzold fel a hangforrás mozgását egyenes vonalon, szuperszonikus sebességgel.

Válassz tetszőleges korábbi időpillanatokat t_i. Minden t_i-re rajzolj egy kört sugárral r_i = c cdot (t - t_i), ahol t a jelenlegi idő.

A Mach-kúp határát adó burkoló a körökből az a tangens, amely a jelenlegi helyzetből húzható. Nem minden kör érinti ugyanaz a vonal.

Egyszerűbben: a Mach-kúp a jelenlegi helyzettől kiinduló, mu = arcsin(c/v) szögű kúpszerű vonal. A múltbeli hullámfrontok burkológörbéjét nem kell minden körből explicit rajzolni; elég a Mach-szögből és a forrás aktuális irányából szerkeszteni.

 

 

A probléma az, hogy nem értem. És nem értem, hogy miért nem értem.

Viszont a körök megrajzolása esetén a burkoló mem ott van, ahol az érintő.

Előzmény: mmormota (1458)
mmormota Creative Commons License 2025.12.23 0 0 1461

A megadott módon megszerkesztettem az érintőt.

De az nem esett egybe a burkoval, amikor a köröket is berajzoltam.

 

Ez esetben nem a fogalmazásod volt idétlen, hanem rossz amit csináltál.

 

A helyes módszer végtelenül egyszerű. Fogsz egy pontot, azt mondod, itt van a repülő a 0 időpontban.

Lerajzolod, hol a hang t idő múlva, vagyis rajzolsz egy t*vhang sugarú kört. Lerajzolod, hol a repülő t idő múlva, vagyis rajzolsz egy R pontot az első ponttól t*vrepülő távolságra. 

Érintőt húzol R-ből a körhöz, kész.

Előzmény: Kanócpusztaszer felső (1457)
Kanócpusztaszer felső Creative Commons License 2025.12.23 0 0 1460

Jó, akkor kérdezd meg tőle érthetőbben.

 

(Néha tényleg úgy kommunikálok, mintha létezne telepátia vagy gondolatlvasás.)

Előzmény: mmormota (1458)
Kanócpusztaszer felső Creative Commons License 2025.12.23 0 0 1459

A burkoló egybeesik az érintővel. :-)

 

Nekem itt kétségeim vannak, hogy tényleg a burkolóról van szó.

Mert a kúp az alapelvek szerint ott alakul ki, ahol a "szomszédos" hullámok fázisai erősítik egymást.

 

 

Na most...

Hány pontja van az egyenesnek? ;)

Mert az erősítési faktor ilyesmin múlik.

De a hangerő mégsem végtelen.

Valami mást is figyelembe kell itt venni.

Előzmény: mmormota (1454)
mmormota Creative Commons License 2025.12.23 0 0 1458

Te idétlenül fogalmaznál, az AI meg félreértette. Azt hitte, egyetlen növekvő kör érintőiből akarod a kúp pillanatnyi állapotát felrajzolni.  ;-) 

Előzmény: Kanócpusztaszer felső (1456)
Kanócpusztaszer felső Creative Commons License 2025.12.23 0 0 1457

Nem tudom, te honnét vetted.

 

A saját szimulációm alapján.

A megadott módon megszerkesztettem az érintőt.

De az nem esett egybe a burkoval, amikor a köröket is berajzoltam.

 

Az AI pedig valószínűleg éppen bármivel egyetértő hangulatában volt.

 

 

Itt van egy olyan háttér gondolat (Feynman alapján), hogy konstruktív interferencia ott következik be, ahol a fázis variációja nulla. (Mint a fény és a tükör.) Na, ezzel például nem tudott mit kezdeni.

Előzmény: mmormota (1453)
Kanócpusztaszer felső Creative Commons License 2025.12.23 0 0 1456

Az érintő a sugárra merőleges.

A derékszög miatt a Mach-szög kiegészítő szögét tudjuk.

A kör sugara az eltelt idő és a hangsebesség szorzata.

Elvileg elegendő ezeket a pontokat megrajzolni és összeköti.

Hol a hiba?

 

- * -

 

❗ A hiba: azt feltételezed, hogy a Mach-kúp burkolója egy adott kör érintője

Ez azonban nem igaz.

A Mach-kúp (vagy síkbeli esetben: Mach-vonal) nem egyetlen kör érintője, hanem sok különböző időpontban kibocsátott sok különböző kör burkolója.

 

🎯 A lényeg

A hibás lépés:

„Elvileg elegendő ezeket a pontokat megrajzolni és összekötni.”

Nem elég, mert nem ugyanannak a körnek az érintőit keresed, hanem különböző körök burkolóját.

A Mach-szög nem abból jön ki, hogy egy adott kör érintőjét nézed, hanem abból, hogy:

  • a forrás v sebességgel mozog,

  • a hang c sebességgel terjed,

  • és a burkoló egyenesének meredeksége a két sebesség arányából adódik

 

Előzmény: mmormota (1451)
mmormota Creative Commons License 2025.12.23 0 0 1455

Egyszer tesztelgettem az AI-t matematika versenyfeladatokkal. Az algebrai, logikai jellegű szöveges feladatokban jó volt. Egy geometriai feladat esetén viszont akkora hülyeségeket írt, hogy hihetetlen. Semmi értelme nem volt, de úgy abszolút semmi.

Előzmény: Kanócpusztaszer felső (1452)
mmormota Creative Commons License 2025.12.23 0 0 1454

A burkoló egybeesik az érintővel. :-)

Az AI is képes hülyeséget írni.

Előzmény: Kanócpusztaszer felső (1452)
mmormota Creative Commons License 2025.12.23 0 0 1453

A Mach kúpon kívül hallható hanggal kapcsolatos állítás téves, egyetértek Fizi Miskával.

Megnéztem egy-két AI-t, azok is tudják ezt. Nem tudom, te honnét vetted.

Előzmény: Kanócpusztaszer felső (1449)
Kanócpusztaszer felső Creative Commons License 2025.12.23 0 0 1452

Már bezártem az ablakot.

 

Leírtam, hogy veszünk három pontot. A most (0 sec) a hangforrás helyzete. Az 5 és 10 másodperccel korábbi helyén rajzolunk 5c és 10c sugarú kört. Megrajzoljuk az érintőt.

 

Erre azt felelte, hogy ne két kört rajzoljak, hanem rengeteget. És ne az érintőt, hanem a burkolót keressem.

Előzmény: mmormota (1450)
mmormota Creative Commons License 2025.12.23 0 0 1451

Tippelek: az AI a nem lineáris lökéshulláról mondott valamit, te meg a lineáris terjedési tartomány hanghullámairól.

A két dolog kúppalástja egybeesik.

Előzmény: mmormota (1450)
mmormota Creative Commons License 2025.12.23 0 0 1450

Az AI szerint a körök érintője nem a Mach-kúp.

 

Pontosan milyen szavakkal, milyen összefüggésben mondta ezt az AI? Arra gyanakszom, hogy félreértetted.

Előzmény: Kanócpusztaszer felső (1449)
Kanócpusztaszer felső Creative Commons License 2025.12.23 0 0 1449

Mivel nem szeretem önmagamat becsapni...

 

Valami itt nekem nem jön ki.

Rajzoljunk fel két kört, mondjuk 5 és 10 másodpercnél. A kúp csúcsa 0 sec.

Az AI szerint a körök érintője nem a Mach-kúp.

Előzmény: mmormota (1448)
mmormota Creative Commons License 2025.12.23 0 0 1448

Viszont amit írt, az részben helyes.

 

Inkább mind helyes, kivéve az animációt, azt elnézte. 

 

Amit te írsz, annak csak kb. a fele helyes, vagy annyi se, de úgy összekeveredik, hogy Hamupikőke barátai se könnyen válogatják szét.

Előzmény: Kanócpusztaszer felső (1444)
Fizi Miksa Creative Commons License 2025.12.23 0 0 1447

"És igen: 👉 A hajtómű hangja a Mach‑kúpon kívül is hallható, csak késve és torzítva."

 

Ez tévedés. 

Amikor hallod, akkor már belül vagy a kúpon. 

És nem torzítva hallod, hanem két különböző magasságú hangot hallasz.  

Előzmény: Kanócpusztaszer felső (1445)
Fizi Miksa Creative Commons License 2025.12.23 0 0 1446

"Közvetlenül a repülő mögött van egy tartomány, ahol az előrememő és hátrafelé haladó hullámok találkoznak. "

Nem csak közvetlenül a repülő mögött, hanem a kúpon belül mindenütt. 

"De ott többnyire nincs megfigyelő."

Ha a gép elhalad feletted, akkor már a kúpon belül vagy, tehát te vagy a megfigyelő. Hallod az előremenő hangot is és a hátramenő hangot is. A két hangnak nem azonos a hangmagassága. 

Ezt több megfigyelés is bizonyítja. A szuperszonikus repülők is, és a hangsebesség felett érkező meteorok is. 

 

 

Előzmény: Kanócpusztaszer felső (1444)
Kanócpusztaszer felső Creative Commons License 2025.12.23 0 1 1445

Különböztessük meg a két dolgot. Van a lökéshullám (shock wave) és a hajtómű zúgása.

 

- * -

 

✈️ 1. Lökéshullám (shock wave) és a Mach‑kúp

  • A szuperszonikus test minden pontjáról folyamatosan lökéshullámok indulnak ki.

  • Ezek a hullámok nem tudnak előrefelé terjedni, mert a test gyorsabb a hangnál.

  • Emiatt egy kúpfelületre torlódnak össze → ez a Mach‑kúp.

  • A megfigyelő csak akkor hallja a lökéshullámot, amikor a Mach‑kúp átmegy rajta.

  • Ez a jelenség a sonic boom.

👉 A lökéshullám tehát nem terjed szét minden irányba, csak a kúpfelületen érzékelhető. A kúpon kívül nincs shock wave hang.

 

🔊 2. A hajtómű (vagy bármilyen hangforrás) hangja

Ha a szuperszonikus test maga is hangot bocsát ki (pl. hajtómű, aerodinamikai zaj), az már más kategória:

  • A hang minden irányba terjed, de a test gyorsabb nála.

  • A megfigyelő csak akkor hallja, amikor a hanghullámok utolérik.

  • Ezek a hanghullámok nem a Mach‑kúp részei, hanem a forrás saját hangja.

  • A megfigyelő ezt Doppler‑eltolódással hallja:

    • közeledéskor magasabb frekvencia,

    • távolodáskor alacsonyabb.

És igen: 👉 A hajtómű hangja a Mach‑kúpon kívül is hallható, csak késve és torzítva.

Előzmény: Maketheworldabetterplace (1443)
Kanócpusztaszer felső Creative Commons License 2025.12.23 0 1 1444

Viszont amit írt, az részben helyes. Közvetlenül a repülő mögött van egy tartomány, ahol az előrememő és hátrafelé haladó hullámok találkoznak. De ott többnyire nincs megfigyelő. Esetleg a repcsi húzhatna maga mögött egy mikrofont.

Előzmény: mmormota (1441)
Maketheworldabetterplace Creative Commons License 2025.12.23 0 1 1443

Szubszonikus sebességgel haladó test animáció és szuperszonikus sebességgel haladó test animáció esetén látszódik a nyomashullámtorlódás és a hallható frekvenciaváltozás oka.

Előzmény: Fizi Miksa (1442)
Fizi Miksa Creative Commons License 2025.12.22 0 0 1442

Ha így van, akkor a repülőgép előtt távolabb elhelyezkedő megfigyelő nem hallhat semmiféle hangot, hiszen a gép megelőzi a saját hangját. Akkor viszont az ábra éppen nem jó a Doppler jelenség bemutatására.  

Előzmény: mmormota (1441)
mmormota Creative Commons License 2025.12.22 0 2 1441

Meg aztán nincs is előtte hang vagyis körív. Ha lassabb lenne hangsebességnél, belül lenne minden körön.

Előzmény: Fizi Miksa (1439)
mmormota Creative Commons License 2025.12.22 0 2 1440

Szerintem gyorsabb a piros pont, mint a hangsebesség. Nézd az első, legnagyobb kört, távolodik a pötty az ívétől.

Előzmény: Fizi Miksa (1439)
Fizi Miksa Creative Commons License 2025.12.22 -3 1 1439

Az animáció arra az esetre vonatkozik, amikor a test sebessége kisebb a hullámsebességnél.

A Doppler jelenségre jó, de a hullámsebesség feletti esetre nem. (szuperszonikus repülő)

Éppen a lényeg nem látszik rajta. 

Előzmény: Kanócpusztaszer felső (1438)

Ha kedveled azért, ha nem azért nyomj egy lájkot a Fórumért!