Keresés

Részletes keresés

construct Creative Commons License 2023.08.31 0 2 186

"Van a Földnek egy mágneses mezeje. Amikor a Föld halad a Nap körüli pályán, akkor a mágneses mezeje mindig ott található, ahol a Föld."

 

Nagyon laikus, illetve kisiskolás megfogalmazás. Jól látszik, hogy sohasem értetted a Maxwell egyenleteket, és sohasem számoltál velük. Nekem viszont ez a szakmám, ennek alkalmazásából élek, másrészt ezt tanítottam egyetemi szinten.

A különböző mágnesek mezőinek nincs semmiféle szuverenitásuk. A mezőkre sehol nincs semmi módon felíva, megjelölve, hogy ők melyik mágnesből (vagy egyéb forrásból) származnak. Pl. hogy ők a Föld mágneses mezeje. A tér minden pontján csak egyetlen mágneses mezővektor létezik, ami általában több különböző forrásból származó vektorok összege. De egy vektort nagyon sokféle módon lehet összetevő vektorokra dekomponálni.
Másrészt a legtöbb forrás olyan, hogy a mező általa létrehozott része nem csak egy korlátos térrészen különbözik nullától, hanem fordított arányban csökken a forrástól mért távolság valamely hatványával. Így aztán tőle bármilyen nagy távolságban is megjelenik valamekkora konkrétan kiszámolható kis értékben.

 

Előzmény: kvark kapitány (180)
mmormota Creative Commons License 2023.08.31 0 0 185

A "mező" szót más értelemben használod, mint a modern fizika mezői. Ahogy te ebben a hozzászólásban használod, az inkább Faraday elképzelése.

Nem véletlen, hogy a fizikát pontos definíciókkal szokás művelni. Ha mindenki azt ért egyes kifejezések alatt, amit szerinte annak jelenteni kellene, akkor nehéz megérteni egymást.

Előzmény: kvark kapitány (180)
szabiku_ Creative Commons License 2023.08.31 0 0 184

Ez csak amolyan átruházás. Fizikailag ténylegesen nem a mező vagy árnyék mozog. 

Előzmény: kvark kapitány (180)
szabiku_ Creative Commons License 2023.08.31 0 0 183

Mindjárt bizonyítom az igazam. 

Előzmény: kvark kapitány (179)
szabiku_ Creative Commons License 2023.08.31 0 0 182

Nem kell ehhez semmiféle erővonal mozgás, tologatás. 

Előzmény: Törölt nick (176)
szabiku_ Creative Commons License 2023.08.31 -1 0 181

Ne állj át a sötét oldalra! Nekem van igazam. Tegnap kicsit elvette az eszem a csaj. Majdnem megtévedtem utána, de aztán újra átgondoltam, és be tudom bizonyítani. Mindjárt. 

 

Amúgy "véletlen" itthagyta a farmerkabátját, és este azt szagolgattam... xd

Előzmény: Törölt nick (175)
kvark kapitány Creative Commons License 2023.08.31 -1 0 180

"A Maxwell egyenletek ilyen mezőkről szólnak..."

 

Csúnya dolog a hazudozás. 

 

 

"Egyébként ha az EM mezők mozgó dolgok lennének..."

 

Van a Földnek egy mágneses mezeje. Amikor a Föld halad a Nap körüli pályán, akkor a mágneses mezeje mindig ott található, ahol a Föld. 

A Föld mozog, halad, de szerinted a mágneses mező nem mozog. Mégis valami fatális véletlen folytán mindig éppen ott van, ahol a Föld. Vagyis a mező követi a Földet, de nem mozog?

 

Az árnyékod is mindig követ téged ha sétálsz, de az árnyék sem mozog szerinted? 

 

 

Előzmény: construct (178)
kvark kapitány Creative Commons License 2023.08.31 -2 0 179

Nekem már egyértelmű.

Te vagy az aki téved, de ezt nem fogod beismerni. 

 

Előzmény: szabiku_ (145)
construct Creative Commons License 2023.08.31 0 3 178

"És ha nem úgy definiálod, akkor már tudnak mozogni? Nem nevettess!

A természet nem tudja, hogy te mit hogyan definiálsz."

 

Fordítva ülsz a lovon.

Nem a természetnek kell tudnia a mi definícióinkról, hanem nekünk kell úgy definiálnunk a fogalmainkat, hogy azokkal, és a rájuk felállított egyenletekkel adekvát leírást tudjunk adni a természetről. Márpedig ez nekünk (Maxwell nyomán) olyan mezőfogalmakkal sikerült, amelyeket minden vonatkoztatási rendszerben a rendszer pontjaihoz kötötten definiáltunk. A Maxwell egyenletek ilyen mezőkről szólnak, ilyenek segítségével tudják nagy pontossággal leírni az elektromágneses jelenségekről szóló kísérletek számszerű eredményeit.

 

Ha az így definiált EM mezők helyett valaki valami más fogalmakkal akarja leírni az észlelt jelenségeket, akkor azokra valami más egyenleteket kell találnia. Sok sikert hozzá!

 

Egyébként ha az EM mezők mozgó dolgok lennének, akkor az EM hullámok kétszeresen is mozognának, egyrészt együtt utaznának a mező mozgásával, másrészt haladnának magában a mezőben is, s ez a két mozgási sebesség valamilyen módon összeadódna. Hasonlóan, mint az áramló közegek (pl. víz, levegő) hullámai. De hát ilyen jelenséget senki nem tapasztalt, az EM mező nem valamiféle közeg.

 

Az megtévesztő hasonlat amikor az átlátszó anyagban terjedő fényt úgy képzeljük el, mint annak a közegnek valamiféle hullámait. Ez már abból is látszik, hogy egy v sebességgel mozgó, n törésmutatójú közegben a fény eredő sebessége nem c/n+v lesz, hanem ettől kevesebb. Ott egészen más dolog történik, amit csak a kvantumfizika tudott megérteni. Az EM energia, ami belép az anyagi közegbe, rögtön elnyelődik benne, majd az általa létrehozott atomi gerjesztések újra EM energiává alakulnak, de a következő atomokban ismét elnyelődnek, majd ezek a gerjesztett atomok megint EM energiát emittálnak, és így tovább. Hogy a belépő energiából végül mennyi lép ki a túloldalon, mennyi marad az anyagban, s mennyi jön ki visszafelé, az a közeg anyagától függ. Mint ahogy az előre meg a visszafelé kilépő EM energiák spektrumszerkezete is más lehet, mint a belépőé volt, s ezek a számok is függenek az anyagtól. Maguk az EM hullámok a közeg belsejében is az EM mezőben terjednek, nem pedig a közegben. A közeg csak ezt a csilióni belső elnyelődést és újraemittálódást befolyásolja. A dolog részleteit nem feltáró klasszikus effektív közelítésben mindezeket csak olyan egyszerű tapasztalati tényezőkkel tudjuk leírni, mint pl. a törésmutató, a reflexiós tényező, a transzmissziós tényező, s ezek frekvenciafüggései.

 

"Szerinted nem valódi, mások szerint meg az."

 

Ez nem vélemény kérdése, hanem az elektrodinamika ismeretének vagy nem ismeretének kérdése.

 

"A zseblámpa fénye mozog a falon? Persze, hogy mozog."

 

A zseblámpa fénye a falra merőlegesen mozog. A fal síkjában nem mozog semmiféle fény. Ilyen irányban csak az EM energia elnyelődési pontjai mozognak. Épp ugyanúgy, mintha sorban egymás után szegeket vernél a falba. Ott se mozognak a szegek a fal síkjában. S a szögelési sebességed nem is fizikai kérdés, hanem termelékenységi kérdés, teljesen független a fény vagy a szögek mozgási sebességétől.

 

"a mágneses mező . . . haladó mozgáskor együtt halad a mágnessel."

 

Természetesen nem. Se forgó se haladó mozgással. Nincs semmiféle ilyen megkülönböztetés.

Csak a mező értékei változnak, akár forog akár halad a mágnes.

A mezők nem mennek egyik helyről a másikra, hanem mindig és mindenütt jelen vannak. Csak bizonyos helyeken nulla az értékük, más helyeken pedig nem nulla, s ezek az értékek vándorolnak. E különböző jellegű vándorlások a mezők különböző hullámai. Vannak pl. hosszú periodikus vándorlások, és vannak rövid egyszeri tranziens vándorlások, meg ezek mindenféle keverékei.

 

 

Előzmény: kvark kapitány (121)
Törölt nick Creative Commons License 2023.08.31 0 0 177

 

 

Ettől nem leszel okosabb.

 

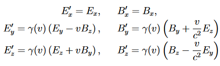
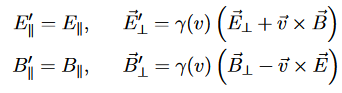
BAB-1 transzformáció:

 

 

Előzmény: szabiku_ (173)
Törölt nick Creative Commons License 2023.08.31 -1 0 176

A kis részek között nincs hézag.

Ha felvágnánk, mint egy tortát, és kicsit szétcsúsztatnánk a darabkákat...

 

 

Kezdem kapisgálni.

A mágneses mezőt nem lehet tologatni taszigálni.

A mágnest amikor mozgatod, olyankor a mágneses mező nem mozog a mágnessel együtt.

A térerősség változik az idő szerint. Persze helyfüggő is, de most egy adott helyen nézzük parciálisan az idő szerint.

 

(E,B)(t,x,y,z) = F(-∂B/∂t, etc)

Ez kissé szimbolista versnek sikerült.

Ha a mágnest mozgatjuk, az időbeli változásból következő elektromos mezőt ki lehet számolni parciálisan.

De ez a képlet nem mondja meg, hogy a mágneses komponens mennyivel csökken.

(Sokat kell még bepótolni, amit nem tanítottak meg rendesen az e-gyetemen.)

 

Előzmény: mmormota (172)
Törölt nick Creative Commons License 2023.08.31 -1 0 175

Az erővonalak nem sétálnak.

Jól mondja construct, hogy az adott vonatkoztatási rendszerbe vannak beleképzelve.

Tehát a mágnesesség ahol megjelenik, ott az áll.

Ha mozogna, azt elektromos mezőként érzékelnénk.

De most nem erről van szó.

 

Hogyan mozdítod meg a mágneses mezőt? Nincsenek fülei mint egy szatyornak. Nem lehet odébb tolni, mint egy ládát.

 

Ha a nagy mágnest felvágod sok kicsire és hagysz köztük réseket, akkor sem az erővonalak fognak elsétálni.

Hasonlóan a forgó motorokhoz. Vannak lineáris motorok is. Szabafelektron lézer...

 

 

A mágneses mező az mágneses mező az adott vonatkoztatási rendszerben.

Lehet egy töltést mozgatni a megfigyelőhöz képest nyugvó (azaz tisztán) mágneses mezőben.

De a töltéshez képest a mágneses mező nem mozoghat, ez abszurdum.

 

Kezd tisztulni a kép, mármint számomra.

Előzmény: szabiku_ (171)
szabiku_ Creative Commons License 2023.08.30 0 0 174

Asszem nem megy fejben. Erre kalkuláló programot kell írni. 

Előzmény: szabiku_ (173)
szabiku_ Creative Commons License 2023.08.30 0 0 173

Sok Lorentz-transzformáció eredőjét kell most fejben kigondolnom...

 

Arra gondolsz, hogy ezek nullát fognak adni. (Bevallom attól félek, én is.) 

 

Most lehet megfogtál. De azért még gondolkozok rajta, hátha mégsem. 😐

Előzmény: szabiku_ (171)
mmormota Creative Commons License 2023.08.30 0 0 172

Nem, mivel nem csak egy kis rész mágnes megy körbe-körbe.

Előzmény: Törölt nick (168)
szabiku_ Creative Commons License 2023.08.30 0 0 171

Hát ehhez fel kell bontani a forgó teljes mágnest sok kis részre, és ezek mind különbözőképpen mozognak pillanatnyilag a forgás miatt. Ezek összhatása kell a mellette lévő töltés pontjában.

 

Hmmm...

 

Az eredőn gondolkozok... 

Előzmény: mmormota (149)
Törölt nick Creative Commons License 2023.08.30 0 0 170

Azt ugyebár érted, hogy a végtelen kiterjedésű mágnest miért nevezem kondenzátumnak.

Mindegy, hogy elmozdítod vagy sem, mert ugyanaz.

 

Ha a mágnes korong forgása nem okozza az erővonalak mozgását,

és ennek a korongnak egy kis darabkáját kiválasztjuk, ez is ugyanaz.

 

Lorentz törvénye, hogy a nyugvó mágnes közelében mozgó vezetékben feszültség indukálódik.

Nincs zárt hurok. Persze odaképzelhetünk egy vezetéket voltmérővel.

Na de a fordított eset, hogy a vezeték nyugszik és a homogén mágneses mező mozog?

Az erővonalak nem változnak. Ideális mágnes esetén.

 

Egyszóval szerintem a mágnes mozgását a záródó szórt erővonalakkal lehet defiiálni.

Valahol kell legyen egy inhomogén rész.

Előzmény: mmormota (166)
Törölt nick Creative Commons License 2023.08.30 0 0 169

Őt sajnáljuk vagy téged? :DDDD

Előzmény: szabiku_ (167)
Törölt nick Creative Commons License 2023.08.30 0 0 168

Ha mozgó mágnes alatt a korong egy darabját érted, ezzel beláttad amit szabiku mond. :DDDD

Előzmény: mmormota (166)
szabiku_ Creative Commons License 2023.08.30 0 1 167

Közben felugrott hozzám egy ismerősöm (csaj), és most ment el. Nagyon jó, csaj, úgyhogy nehéz most visszatérni a fizikához... 

Előzmény: Törölt nick (164)
mmormota Creative Commons License 2023.08.30 0 0 166

Ki mondja meg, hogy a vezeték mozog vagy a mágnes mozog?

 

Megfigyelő függő. A vezetékben folyó áram persze ugyanakkora, de hogy mi hozza létre, az már megfigyelő függő. A mágneshez képest álló megfigyelő rendszerében csak B van, a mozgóéban meg E is.

Előzmény: Törölt nick (162)
Törölt nick Creative Commons License 2023.08.30 0 0 165

A forgó mágnes a lerágott csont. Az egyenes vonalú mozgás pedig a velőscsont.

Vacsorára pirítóst javaslok neked. :DDDD

 

Elfelejtettem mágnest bevinni.

A következő kísérleti elrendezéseken gondolkozok:

 

Van nagyon érzékeny mérőműszerünk. Mikrovoltokat mér.

Persze hídban, de most ez lényegtelen.

 

1. A mérővezeték egyik részéhez rögzítem a mágnest. Az egészet pedig egy tálcára. És tálcástól mozgatom.

Azt várjuk, hogy nem történik semmi.

Persze a környezeti szórt mágneses mező hatását le kellene árnyékolni.

 

2. A mágneshez rögzített vezetéket mozgatom a tálcához képest.

Mivel a mágnes erővolalai záródnak, itt a szórt mező hatása mérhető lesz.

Hisen a hurok mérete változik, és abban a szórt fluxus is. A visszatérő erővonalak fluxusa.

 

 

Az igazi az lenne, ha egy nagy kiterjedésű homogén mágneses térben tudnék mérni.

Egyszer a vezetéket mozgatnám a mágneshez képest. Aztán a mágnest mozgatnám a vezetékhez képest, hogy közben a vezeték a homogén mezőben maradjon.

Itt is csak azt tudom elképzelni, hogy a véges kiterjedésű mágnes záródó erővonalainak fluxusa okoz indukciót.

Előzmény: szabiku_ (153)
Törölt nick Creative Commons License 2023.08.30 0 0 164

Halat eszel? :DDDD

Vagy ma böjtölsz és a holnapi vacsoráról van szó?

Előzmény: szabiku_ (154)
Törölt nick Creative Commons License 2023.08.30 -1 0 163

:D

Előzmény: szabiku_ (154)
Törölt nick Creative Commons License 2023.08.30 0 0 162

Jókora vitát sikerült indítanom.

 

De inkább áttérnék a forgásról az egyenes vonalú egyenletes mozgásra.

Legyen egy végtelen kiterjedésű homogén mágneses mező.

Mozogjon az erővonalakra merőleges vezeték.

A végtelen kiterjedésű mágnest vesszük nyugvónak.

Ez ugyebár a Lorentz-erő, mozgási insukció.

 

Most változtatok egy kicsit.

A mágnes ne legyen végtelen, csak nagy méretű. A vezeték átmérőjéhez képest.

(A végtelent nem tudnánk mozgatni, mert kondenzátum.)

Először mozgassul a drótot a nyugvó mágnes közelében.

Aztán pedig a mágnest mozgassuk a vezeték alatt.

Probléma: nincs kitüntetett inerciarendszer.

Ki mondja meg, hogy a vezeték mozog vagy a mágnes mozog?

 

Most jön a harmadik szereplő, egy külső megfigyelő.

Neki tetszőleges a sebessége.

Vegyünk három esetet:

1. A külső megfigyelő a mágnessel együtt mozog.

2. A külső megfigyelő a vezetékkel együtt mozog.

3. A mágnes és a vezeték sebességének átlagával mozog.

 

 

Mi itt a probléma?

Egy valóságos (nem végtelen) mágnes erővonalai záródnak, és nem a végtelenben. Szórt mező.

Nekem errő a Mach-vödör jut eszembe.

Mert ha a vezeték a nagy kiterjedésű mágnes homogén részében mozog, vagyis inkább a vezeték nyugszik ebben a tartományban és a mágnes mozog. Valami nekem azt súgja, hogy az indukciót a szórt mező okozza, a záródó erővonalak.

Előzmény: mmormota (149)
Törölt nick Creative Commons License 2023.08.30 0 0 161

Ennek kimutatására lehet olajban fürdetett bózadara szemcséket is használni.

(Statikus mezőknél szokványos demonstrációs kísérlet,)

Előzmény: szabiku_ (127)
Törölt nick Creative Commons License 2023.08.30 0 0 160

Lehet definiálni gyorsuló vagy akár harmonikusan rezgő koordináta-rendszert is. :DDDD

Előzmény: mmormota (123)
Törölt nick Creative Commons License 2023.08.30 0 0 159

Szinkron motorban a mágneses mező radiális, és érintő irányban "mozog" például a maximumhely.

Előzmény: kvark kapitány (121)
Törölt nick Creative Commons License 2023.08.30 0 0 158

"(HK rézkorongja), és két csúszóérintkezővel csatlakoztatod a hurok többi, nem mozgó részéhez (kivezetések, mérőzsinór)."

 

Gonoszkodok!

A korong és a csúszóérintkező marad.

Viszont ne a korongot forgassuk, hanem a csúszóérintkezőkkel együtt a mérőzsinórokat és a voltmérőt.

Az egészet feltenni egy körhintára. A korong ne forogjon, hanem az áramkör többi része.

Elvileg ugyanazt kellene kapnunk, negatív előjellel.

Ugyanis a mágnes erővolalai záródnak.

Előzmény: szabiku_ (118)
Törölt nick Creative Commons License 2023.08.30 0 0 157

"olyan E mező keletkezik, amely gradiens vektormező, azaz minden zárt hurok integrálja nulla. Nem tudsz benne gyakorlatilag feszültséget mérni."

 

Nem könnyű, de megoldható. Kapcsolt kapacitásokkal.

Neked is el kellene olvasni a villámokról szóló fejezetet.

 

 

Előzmény: szabiku_ (115)

Ha kedveled azért, ha nem azért nyomj egy lájkot a Fórumért!